| 本工具用于分析封场边坡覆盖层的稳定性。通过将覆盖剖面简化为无限边坡,计算整个边坡的应力,从而评估其在干燥和饱和(产生渗流)两种情况下的安全系数。
封场斜坡覆盖的稳定分析可以计算整个边坡的应力向量,将覆盖剖面简化成无限边坡。下图表示封场覆盖的一个截面,包括压实土层、土工膜、排水层、表土层。
对于土工膜上没有孔隙水应力,抵抗破坏的安全系数为:
F s = 抗力 / 推力 =F/T
F s =(C+N·tanδ)/W·sinβ
若粘聚力 C=0 ,则
F s =N·tanδ/W·sinβ=W·cosβ·tanδ/ W·sinβ= tanδ/tanβ
式中: β— 坡度
δ— 多层衬垫中最小界面摩擦角
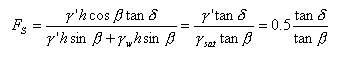
如果土工膜上层覆盖产生饱和,土工膜上有渗流,最终覆盖的稳定安全系数为:
则坡体稳定安全系数为
式中 ——土工复合排水网与土或与下面土工膜之间界面摩擦角的较小值;
和
— 坡面土体的浮容重和饱和容重,一般
近似等于 0.5 。

符号含义
符号 |
说明 |
定义 |
β |
封场斜坡坡度 |
度 |
δ |
衬垫最小摩擦角 |
度 |
L |
封场斜坡长度 |
m |
kveg |
上层覆盖土层的渗透系数 |
cm/s |
θ |
排水层的导水率 |
m2/s |
数据输入
如果只有一或者二种情况,则第三种情况不用输入 .
|