对于由土工膜和低渗透性土层(如压实粘土)组成的复合衬垫,本工具可估算在土工膜存在缺陷时的渗漏率。计算考虑了土工膜与土层之间的接触条件(良好或较差)以及不同形状(圆形、方形、矩形、无限长条形)的缺陷。
复合衬垫是土工膜和一层低透水性土相互紧密接触组成的衬垫。复合衬垫的渗漏是因为液体穿过土工膜的缺陷或渗过土工膜而形成的。在土工膜有缺陷的情况下,通过复合衬垫的渗漏率明显低于高渗透土上有相似缺陷的土工膜渗漏率。
滞留的液体处于复合衬垫的土工膜上面,若果土工膜有缺陷,液体首先通过土工膜的缺陷,然后通过土工膜与低透水性土间的一段空间,最后进入并通过低渗透土层。处于土工膜和土层间隙的液体流称为界面流,界面流流经的区域成为湿化区,土层中的水流经过湿化区变为垂直方向,R为湿化区半径。

复合衬垫土工膜河堤透水性土层之间的接触质量是控制通过衬垫渗透率的关键因素,这决定了湿化区的半径,接合条件定义如下:
良好接触:土工膜尽可能少皱褶,低头水性土层要充分密实,表面要光滑。
较差的接触:土工膜有皱褶,低头水性土层要压实不充分,表面不光滑。
对于接触较好的情况,渗漏量由下式计算:
Q= 0.21a0.1h0.9ks0.74
对于接触较差的情况,渗漏量由下式计算:
Q= 1.5a0.1h0.9ks0.74
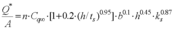
宽度为b,无限长的破洞
Q |
土工膜破损孔的渗漏率 (m3/s)
|
A |
考虑的土工膜面积 (m2 ) |
n |
考虑土工膜面积内的漏洞数量 (A) |
Cqo or Cq∞
|
界面接触质量因素,接触良好,取值 0.21 ,接触不良好
1.15 |
h |
土工膜上水头 (m) |
ts |
低渗透型材料厚度 (m) |
d |
圆孔直径或矩形孔边长 (m) |
b |
长方形孔宽度 (m) |
B |
长方形孔长度 (m) |
| Ks |
低渗透层渗透系数 (m/s) |
| 表1 |
| |
接触质量因子 (Cqo) (圆形,
方形, 矩形) |
接触质量系数 (Cq∞ ) (无限长条) |
| 良好接触 |
0.21 |
0.52 |
| 不良接触 |
1.15 |
1.22 |
| 表2 |
| 施工安装质量 |
破损孔洞密度 (每4000的数量) |
发生频率 (%) |
| 优秀 |
最多1 |
10 |
| 良好 |
1 ~4 |
40 |
| 普通 |
4~10 |
40 |
| 差 |
10 ~20* |
10 |
数据输入
|